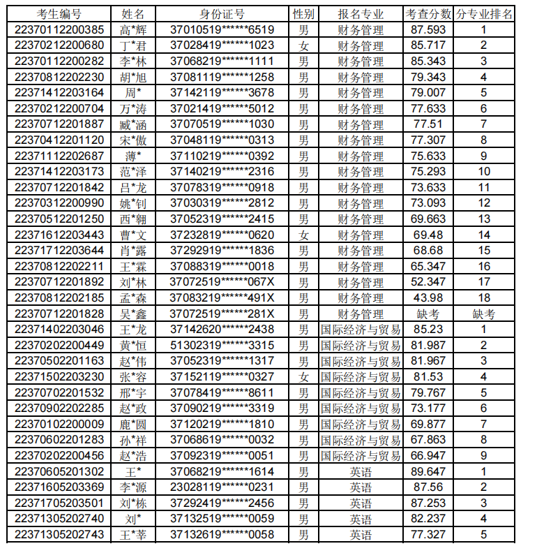
青岛科技大学2022年退役士兵免试专升本综合考查成绩
我校于今日完成2022年退役大学生士兵免于文化课考试综合考查,现将综合考查成绩予以公示,公示截止至3月30日17时。如有异议,请于公示期间联系我校招生办公室,超出期限的异议不予受理。
复核范围,仅限于核对分数是否正确,不再组织评委进行打分。
如有异议请联系招生办,招生咨询电话:0532-88957996
后续我校将按照省里批复退役大学生士兵的招生计划及综合考查名次,上报考试院。
附件:成绩公示-退役士兵

相关推荐
备考大礼包免费领取

专升本院校
考试大纲
招生政策
招生计划
分数线
报考条件
专升本问答
考试科目
考试时间
准考证
成绩查询
志愿填报
网站首页


